1、合肥包冲三让堂字辈
国运宏开增大道,家源昌盛德延长,中华同创复兴梦,世代传承三让风。注:第十六世起。

2、合肥敦睦堂字辈
……文章华国,忠孝传家,道德绍先,宏恩广庆,贤良振邦,仁义永兴……
3、巢湖吴家涧沟德胜堂字辈
……加国应尚,文学可知,泰元锦逹,明德奇芳,宏书宽宥,万代祯祥……
注:清公第4代立字辈。据《潜川吴氏宗谱》记载,沐集吴家涧沟吴氏始迁祖清公自青阳迁至庐邑之东乡吴家涧沟(今安徽省巢湖市居巢区槐林镇沐集涧泉)起,沿袭数百年,传二十余世,人丁兴旺。现进行第四次续修。

4、始祖谏公巢湖庙岗乡大吴村字辈
春达家增秀,恩承业永昌,代宗维道德,经国再文章。

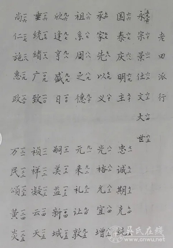
5、合肥耕礼堂字辈
嘉(13)登(14)希(15)尚(16)国(17)克(18)守(19)应(20)光(21)宗(22)大(23)德(24)昭(25)先(26)世(27)硕(28)学(29)传(30)至(31)文(32)崇(33)道(34)为(35)邦(36)兴(37)宏(38)业(39)定(40)升(41)平(42)
注:合肥吴夹衖耕礼堂老田吴宗支,自13世起立字派,已立至42世。
上一篇:亦政堂吴氏四十字辈含义解读
下一篇:已经是最后一篇